Curved Arrow Press

  • Home
  • HBr Addition
  • LAH Reduction
  • How to Use
  • Table of Contents
  • Index of TLOC
  • Classroom Results
  • Electronegativity
  • Sales
  • eBook
  • Blog
  • Site Map
  • Contact


     Forums

  • OrgoForum
  • Orgo Lab
  • Miscellaneous
  • Archives
  • Spectral Qs
  • More Help

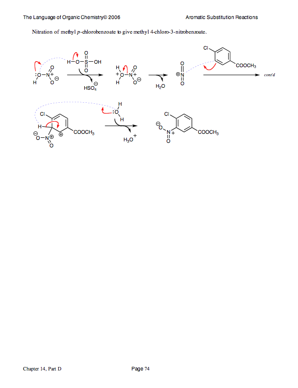
Picture 74
  • Home > 
  • Nitration of Substituted Aromatic > 

© 2008 Curved Arrow Press eMail